Practice Problems#
Answer the following questions about the two frequency domain graphs shown below.


a. What is the modulation index for each system?
b. Will the output signal from each system be under-, over-, or 100% modulated?
c. What are the equations for the output signal, \(v_{AM}(t)\), of the system on the right?
In frequency modulation
a. The frequency of the carrier changes
b. The frequency of the message changes
c. The amplitude of the carrier changes
d. The amplitude of the message changes
T / F. The message is typically a higher frequency than the carrier.
T / F. In an AM signal, the message is contained in both the envelope of the signal and the frequency of the carrier.
T / F. FM signals are more susceptible to noise than AM signals.
Given the following message and carrier signals,
\(v_M(t) = 2\cos(360^\circ 7k t)\ \text{V}\)
\(v_C(t) = 4\cos(360^\circ 205k t)\ \text{V}\)
What is the output equation of the function multiplier, \(V_{out}(t)\)?
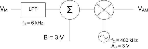
The message signal \(v_M(t) = 7\cos(360^\circ 5k t)\ \text{V}\) is input into the following AM modulator.

a. What is the modulation index for this system?
b. Will the output signal be under-, over-, or 100%-modulated?
c. What is the equation for the output signal, \(v_{AM}(t)\), of this system?
The bias in the previous problem is increased to 8V. Determine the following:
a. What is the modulation index for this system?
b. Will the output signal be under-, over-, or 100%-modulated?
What kind of modulation does the following signal use? Is it over-, under-, or 100% modulated?
